Liệu bạn đã bao giờ thắc mắc từ tiếng Anh dài nhất thế giới có thể dài đến mức nào chưa? Các sự thật về 15 từ dài nhất trong tiếng Anh sắp được bật mí dưới đây chắc chắn có thể khiến không ít bạn giật mình lắm đấy. Cùng xem nhé!
15 từ tiếng Anh dài nhất thế giới
Top 1: METHIONYLTHREONYLTHREONYLGLUTAMINYLARGINYL...ISOLEUCINE (189.819 CHỮ)
Từ này là tên của nguyên tố hóa học Titin, dài tới 189.819 kí tự. Đây là một từ vựng không thường được dùng bởi quá dài, phần bạn nhìn thấy trên tiêu đề chỉ là một phần rút gọn của từ tiếng Anh dài nhất thế giới thôi. Để mà viết hết từ này ra, chắc có lẽ bạn sẽ phải đóng thành hẳn một quyển sách mấy trăm trang đó!
Có người từng thử đọc hết từ này và đưa ra kết luận, cần mất đến 3.5 giờ để phát âm từ vựng này một cách trọn vẹn. Không biết phải uống bao nhiêu cốc nước để nói liên tục trong 3.5 tiếng nữa!
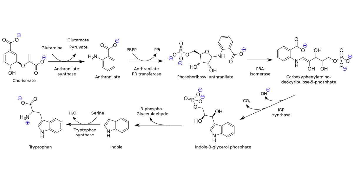
Top 2: METHIONYLGLUTAMINYLARGINYLTYROSY... HREONYLARGINYLSERINE (1913 CHỮ)
Ngắn bằng 1 phần 10 từ TOP 1 thôi, nhưng vẫn thuộc dạng không thể sử dụng thường xuyên bởi quá dài, là một từ vựng với 1913 ký tự. Đây là tên tiếng Anh của chất hóa học synthetase tryptophan, một loại enzim tổng hợp Tryptophan có cấu trúc gồm 267 axit amin.

Top 3: LOPADOTEMACHOSELACH...HETRAGANOPTERYGON (183 CHỮ)
Từ này là tên của một món ăn giả tưởng với nguyên liệu rất “thập cẩm” thể loại, bao gồm đến 17 thành phần, có cá mập, bồ câu, mật ong và một số loại động vật khác. Món ăn này xuất hiện từ vở hài kịch Assemblywomen của tác giả Hy Lạp Aristophanes. Đây là từ vựng dài nhất xuất hiện trong văn học, tuy nhiên, từ này không được đưa vào từ điển.

Top 4: AEQUEOSALINOCALCALINOCERACEOALUMINOSOCUPREOVITRIOLIC (52 CHỮ)
Tiến sĩ Edward Strother đã tạo ra từ vựng dài 52 kí tự này để mô tả vùng biển suối khoáng ở Bath (thuộc nước Anh). Từ nà được kết hợp bởi các từ vựng có ý nghĩa, lần lượt là các từ "không mặn, giàu canxi, sáp, có chứa nhôm và đồng, và cay độc". Đây cũng được xem như các đặc điểm của vùng này. Bạn có tò mò muốn 1 lần được thử tới đây không?

Top 5: PNEUMONOULTRAMICROSCOPICSILICOVOLCANOCONIOSIS (45 CHỮ)
Đây là từ vựng dài nhất xuất hiện trong từ điển Oxford. Ý nghĩa của từ vựng này là thuật ngữ tượng trưng cho một loại bệnh về phổi, thường được gây ra bởi bụi Silic đioxyt.
Top 6: SUPERCALIFRAGILISTICEXPIALIDOCIOUS (34 CHỮ)
Đây là từ vựng mà hai nhạc sỹ Richard và Robert Sherman đã tạo ra cho bộ phim và vở nhạc kịch mang tên Mary Poppins. Từ vựng này cũng mang nghĩa có phần hài hước y hệt như bộ phim vậy.
Tuy tác phẩm gốc không có ghi rõ ý nghĩa của từ này, nhưng nhân vật chính trong tác phẩm phim và nhạc kịch, cô Mary Poppins cho rằng từ này nghĩa là "nói gì đó khi bạn không có gì để nói".

Top 7: PSEUDOPSEUDOHYPOPARATHYROIDISM (30 CHỮ)
Đây là một từ vựng chuyên ngành, có xuất hiện trong từ điển lớn và chính thống. Ý nghĩa của từ này là dùng để chỉ một loại bệnh rối loạn di truyền.
Top 8: FLOCCINAUCINIHILIPILIFICATION (29 CHỮ)
Phía trên đều là các thuật ngữ chuyên ngành hoặc từ giả tưởng rồi. Nhưng từ vựng nằm ở top 8 này chính là từ dài nhất mà không phải thuật ngữ chuyên ngành đấy!
Đây là từ đại diện cho một khái niệm được đặt ra và không bị phản đối. Bắt nguồn từ chữ Latin, FLOCCINAUCINIHILIPILIFICATION có nghĩa là "Coi việc gì đó là tầm thường".
Top 9: ANTIDISESTABLISHMENTARIANISM (28 CHỮ)
Đây là 1 từ tiếng Anh dài nhưng có cấu tạo từ hợp lý nhất trong số tất cả từ vựng từ đầu tới giờ, với từ gốc và các tiền tố, hậu tố kèm theo để bổ sung ý nghĩa cho nó.
ANTIDISESTABLISHMENTARIANISM có nghĩa là phong trào hoặc hệ tư tương chống đối lại việc tách biệt giữa nhà thờ và nhà nước. Để dễ hiểu, có thể lấy ví dụ là phong trào diễn ra ở Anh năm 1860.
Top 10: SPECTROPHOTOFLUOROMETRICALLY (28 chữ)
Từ vựng này có độ dài gồm 28 ký tự. Nó có nghĩa là Phương pháp đo quang phổ, thường được ứng dụng trong các xét nghiệm sinh hóa.
Top 11: HEPATICOCHOLANGIOGASTROSTOMY (28 chữ)
Đây là một từ vựng bao gồm tổng cộng 28 ký tự. Ý nghĩa của từ này là một khái niệm chuyên ngành y sinh liên quan đến gan. Các bạn học y sinh - hóa mà phải học và nhớ nhiều khái niệm chuyên ngành dài như này thì đúng thật là đáng nể!
Top 12: PSYCHONEUROENDOCRINOLOGICAL (27 chữ)
Là một từ vựng mang tính chuyên ngành, có ý nghĩa cụ thể liên quan đến nội tiết, từ vựng nằm trong top 12 này có độ dài gồm 28 ký tự.
Top 13: HONORIFICABILITUDINITATIBUS (27 CHỮ)
Sau 3 từ vựng chuyên ngành đều thuộc các ngành y sinh hóa, top 13 là một từ vựng “khá nghệ thuật”!
Từ vựng có 27 chữ cái này xuất phát từ một bộ phim hài của Shakespeare, mang tên là "Love's labour's lost". Đây là một trong những từ tiếng Anh dài nhất có phụ âm và nguyên âm xen kẽ nhau. Ý nghĩa đại diện của nó là "vinh quang".
Top 14: PNEUMOENCEPHALOGRAPHICALLY (26 chữ)
Đứng trong top 14 từ dài nhất là một từ vựng gồm 26 kí tự chữ cái. Đây là một thuật ngữ thường dùng trong y học, cụ thể là chụp khí não, một thủ tục y tế phổ biến. Trong thủ tục này, phần lớn dịch não tủy được dẫn lưu ra khỏi não bằng phương pháp chọc dò tủy sống và thay thế bằng không khí, oxy hoặc heli để cho phép cấu trúc của não hiển thị rõ ràng hơn khi chụp X.
Top 15: THYROPARATHYROIDECTOMIZED (25 chữ)
Nằm trong Top 15 này là một từ vựng với độ dài gồm 25 ký tự. Ý nghĩa của nó là Bệnh Suy tuyến giáp.
Một số từ tiếng Anh dài thường gặp có xuất hiện trong từ điển
Dưới đây là một số từ tiếng Anh dài thường gặp có thể được tìm thấy trong từ điển:
1. Acknowledgment (noun)
- /əkˈnɑː.lɪdʒ.mənt/
the fact of accepting that something is true or right (sự thừa nhận hoặc xác nhận một điều gì đó)
All I want is some acknowledgment that his behaviour is unreasonable. (Tất cả những gì tôi muốn là sự thừa nhận rằng hành vi của anh ấy là không hợp lý.)
2. Administration (noun) - B2
- /ədˌmɪn.əˈstreɪ.ʃən/
the arrangements and tasks needed to control the operation of a plan or organization (sự sắp xếp và nhiệm vụ cần thiết để kiểm soát hoạt động của một kế hoạch hoặc tổ chức)
Teachers complain that more of their time is taken up with administration than with teaching. (Giáo viên phàn nàn rằng họ dành nhiều thời gian cho việc quản lý hơn là giảng dạy.)
3. Communication (noun) - B1
- /kəˌmjuː.nəˈkeɪ.ʃən/
the act of communicating with people (hành động giao tiếp với mọi người)
With no decent phone signal, communication is difficult. (Không có tín hiệu điện thoại tốt, việc liên lạc rất khó khăn.)
4. Development (noun) - B1
- /dɪˈvel.əp.mənt/
the process in which someone or something grows or changes and becomes more advanced (quá trình trong đó ai đó hoặc một cái gì đó phát triển hoặc thay đổi và trở nên tiến bộ hơn)
All our profits are re-invested in research and development. (Tất cả lợi nhuận của chúng tôi được tái đầu tư vào nghiên cứu và phát triển.)
5. Environmental (adjective) - B1
- /ɪnˌvaɪrənˈmentl/
connected with the natural conditions in which people, animals and plants live; connected with the environment
People are becoming far more aware of environmental issues. (Mọi người ngày càng nhận thức rõ hơn về các vấn đề môi trường.)
6. Information (noun) - A2
- /ˌɪnfəˈmeɪʃn/
facts about a situation, person, event, etc. (sự thật về một tình huống, con người, sự kiện, v.v.)
Your local council can provide information on sports facilities in your area. (Hội đồng địa phương của bạn có thể cung cấp thông tin về các cơ sở thể thao trong khu vực của bạn.)
7. Organization (noun) - A2
- /ˌɔːɡənaɪˈzeɪʃn/
a group of people who form a business, club, etc. together in order to achieve a particular aim (một nhóm người cùng nhau thành lập một doanh nghiệp, câu lạc bộ, v.v. để đạt được một mục tiêu cụ thể)
He's the president of a large international organization. (Anh ấy là chủ tịch của một tổ chức quốc tế lớn.)
8. Relationship (noun) - B2
- /rɪˈleɪʃnʃɪp/
the way in which two things are connected (cách mà hai thứ được kết nối)
This is an opportunity to build positive customer relationships. (Đây là cơ hội để xây dựng mối quan hệ khách hàng tích cực.)
9. Sustainability (noun) - C2
- /səˌsteɪnəˈbɪləti/
the quality of being able to continue over a period of time (khả năng duy trì hoặc bền vững)
a company well-known for its commitment to environmental sustainability (một công ty nổi tiếng với cam kết bền vững về môi trường)
10. Transportation (noun) B2
- /ˌtrænspɔːˈteɪʃn/
a system for carrying people or goods from one place to another using vehicles, roads, etc. (sự vận chuyển, hoặc các phương tiện vận chuyển hàng hóa, con người)
The city is providing free transportation to the stadium from downtown. (Thành phố đang cung cấp dịch vụ vận chuyển miễn phí đến sân vận động từ trung tâm thành phố.)
Đây chỉ là một số từ tiếng Anh dài thông dụng và chúng có nghĩa rộng rãi, nên bạn có thể gặp chúng trong nhiều ngữ cảnh khác nhau khi sử dụng từ điển hoặc đọc văn bản tiếng Anh.
Một số câu đố vui về từ vựng tiếng Anh dài nhất
- Từ vựng dài nhất trong từ điển tiếng Anh là gì?
Đáp án: Smiles, vì từ S -> S dài tận 1 mile.
- Tôi là từ vựng dài nhất với tổng cộng 10 nguyên âm, bạn có thể đoán được từ vựng nào tôi là không?
Đáp án: "Alphabet" (bảng chữ cái).
- Tôi là từ vựng tiếng Anh dài nhất mà không có nguyên âm đích thực. Tôi là?
Đáp án: "Rhythm" (nhịp).
- Tôi là từ vựng từ dài nhất (và duy nhất) trong tiếng Anh có kết thúc là hai chữ cái "mt". Bạn biết tôi là từ gì không?
Đáp án: "Dreamt" (mơ)
Ngoài kiến thức về từ vựng dài nhất ra, liệu có ai thắc mắc đâu là từ vựng ngắn nhất trong tiếng Anh không nhỉ? Để IELTS Fighter bật mí cho các bạn nhé!
Từ vựng ngắn nhất trong tiếng Anh với chỉ một chữ cái duy nhất, chính là “I”. Nó được sử dụng để chỉ người nói hoặc người viết mình.
"I" thường được viết hoa, và nó là một trong những từ cơ bản nhất trong tiếng Anh, thường xuất hiện ở vị trí đầu câu hoặc sau dấu cách sau dấu câu chấm. “I” dùng để biểu thị người nói trong các câu và văn bản, và có ý nghĩa cá nhân hoặc tự xác định.
Hy vọng rằng các câu đố này sẽ giúp bạn vui vẻ và tăng cường kiến thức về từ vựng tiếng Anh!
Lời kết
Trên đây là thông tin về các từ tiếng Anh dài nhất và một số sự thật thú vị về chúng. Ngoài ra, IELTS Fighter cũng mang đến cho bạn một số câu đố vui thú vị để bạn có thể thử trí thông minh của mình hoặc dùng để đố vui với bạn bè.
Hy vọng bạn đã có thêm được nhiều kiến thức bổ ích và hẹn gặp lại ở bài viết sau!